Skip to content

SARSA

SARSA

对于当前策略执行每个(状态→动作→奖励→状态→动作)元组

SARSA 更新状态-动作值函数为:\(Q(s,a)\leftarrow Q(s,a)+\alpha(r+\gamma Q(s',a')-Q(s,a))\)

使用 SARSA 的在线策略(on-policy)可控制

对于每个时间步长

  • 评估策略:\(Q(s,a)\leftarrow Q(s,a)+\alpha(r+\gamma Q(s',a')-Q(s,a))\)
  • 策略改进:\(\epsilon-greedy\) 方法

算法具体步骤

  1. 初始化 \(Q(s,a)\)

  2. 循环(for each episode)

  3. 初始化 S

  4. 基于已有的 Q(\(\epsilon-greedy\))从 S 中选择 A

  5. 循环:

    • 选择 A,观察 R 和 S'
    • 基于 Q,从 S' 中选择 A'
    • \(Q(s,a)\leftarrow Q(s,a)+\alpha(r+\gamma Q(s',a')-Q(s,a))\)
    • \(S\leftarrow S'\)\(A\leftarrow A'\)

    当 S 终止

在线策略时序差分控制(on-policy TD control)使用当前策略进行动作采样,即 SARSA 算法中的两个 Action 都是基于当前策略选择的。

Q-Learning

Q-Learning 算法及其收敛性

离线策略学习

什么是离线策略学习

  • 目标策略 \(\pi(a|s)\) 进行值函数评估(\(V^\pi(s)\)\(Q^\pi(s,a)\)
  • 行为策略 \(\mu(a|s)\) 收集数据 \(\{s_1,a_1,r_1,s_2,r_2,a_2,\cdots,s_T\}\sim\mu\)

为什么使用离线策略学习

  • 平衡探索 exploration 和利用 exploitation
  • 通过观察人类或其它智能体学习策略
  • 重用旧策略所产生的经验
  • 遵循探索策略时学习最优策略
  • 遵循一个策略时学习多个策略

Q 学习

  • 学习状态-动作值函数 \(Q(s,a)\in\mathbb R\),不直接优化策略

  • 是一种离线策略(off-policy)学习方法

数据有可能是通过其它策略采样得到的

\(Q(s_t,a_t)=\sum_{t=0}^T\gamma^tR(s_t,a_t),a_t\sim\mu(s_t)\)

  • 策略函数 \(\mu(\cdot|s_t)\sim\mu(s_t)\)
  • 动作空间 \(a\sim A\)
  • 迭代式 \(Q(s_t,a_t)=R(s_t,a_t)+\gamma Q(s_{t+1},a_{t+1})\)

  • 无需重要性采样

  • 根据行为策略选择动作 \(a_t\sim\mu(\cdot|s_t)\)

  • 根据目标策略选择后续动作 \(a_{t+1}'\sim\pi(\cdot|s_t)\)

  • 目标 \(Q^*(s_t,a_t)=r_t+\gamma Q(s_{t+1},a_{t+1}')\)

  • 更新 \(Q(s_t,a_t)\) 的值以逼近目标状态-动作值

\(Q(s_t,a_t)\leftarrow Q(s_t,a_t)+\alpha(r_{t+1}+\gamma Q(s_{t+1},a_{t+1}')-Q(s_t,a_t))\)

使用 Q 学习的离线策略控制

  • 允许行为策略和目标策略都进行改进

  • 目标策略 \(\pi\) 是关于 \(Q(s,a)\) 的贪心策略

\(\pi(s_{t+1})=\arg\max_{a'}Q(s_{t+1},a')\)

  • 行为策略 \(\mu\) 是关于 \(Q(s,a)\) 的 ε-greedy 策略

  • Q 学习目标函数可简化为

\(r_{t+1}+\gamma Q(s_{t+1},a_{t+1}')=r_{t+1}+\gamma Q(s_{t+1},\arg\max_{a_{t+1}'}(s_{t+1},a_{t+1}))\)

\(=r_{t+1}+\gamma\max_{a_{t+1}'}Q(s_{t+1},a_{t+1}')\)

  • Q 学习更新方式

\(Q(s_t,a_t)\leftarrow Q(s_t,a_t)+\alpha(r_{t+1}+\gamma\max_{a_{t+1}'}Q(s_{t+1},a_{t+1}')-Q(s_t,a_t))\)

Q 学习控制算法

状态 s,执行动作 a→观测到奖励 r→转移到下一状态 s',执行动作 \(\arg\max_{a'}Q(s',a')\)

定理:Q 学习控制收敛到最优状态-动作值函数 \(Q(s,a)\rightarrow Q^*(s,a)\)

Q 学习的收敛性证明

收缩算子 contraction operator

  • \(Q(s,a)=r(s,a)+\gamma\max_{a'}Q(s',a')\)
  • 定义 H 算子:\(HQ=r(s,a)+\gamma\mathbb E_{s'\sim p(\cdot|s,a)}[\max_{a'}Q(s',a')]\)
  • 最优值函数 \(Q*\)\(H\) 的不动点,意味着 \(Q^*=HQ^*\)

直接从 Q 函数证明

\((Hq)(x,a)=\sum_{y\in\mathcal X}P_a(x,y)[r(x,a,y)+\gamma\max_{b\in\mathcal A}q(y,b)]\)

\(||\bold{H}q_1-\bold{H}q_2||_\infty\)

\(=\max_{x,a}|\sum_{y\in\mathcal X}P_a(x,y)[\gamma\max_{b\in\mathcal A}q_1(y,b)+\gamma\max_{b\in\mathcal A}q_2(y,b)]|\)

\(\le\max_{x,a}\gamma\sum_{y\in\mathcal X}P_a(x,y)|\max_{b\in\mathcal A}q_1(y,b)-\max_{b\in\mathcal A}q_2(y,b)|\)

\(\le\max_{x,a}\gamma\sum_{y\in\mathcal X}P_a(x,y)\max_{z,b}|q_1(z,b)-q_2(z,b)|\)

\(=\max_{x,a}\gamma\sum_{y\in\mathcal X}P_a(x,y)||q_1-q_2||_\infty\)

\(=\gamma||q_1-q_2||_\infty\)

可以使用柯西收敛准则证明

第 3 讲 多步自助法

多步时序差分预测

回顾动态规划和时序差分

动态规划需要知道整个 MDP 环境的状态转移和奖励函数,完全反向传播。

时序差分算法基于一步采样去做。

回顾蒙特卡洛方法和时序差分

蒙特卡洛:基于当前 state 采样后面所有步,累积奖励函数

时序差分:只走一步

那么有没有介于时序差分和蒙特卡洛的方法呢?

有,被称之为多步时序差分。

多步时序差分

比如 3-step TD。向前走三步,得到一个累积奖励值来更新

n=1 时,是 TD

1<n<∞ 时,是 n-step TD

n=∞ 时,是蒙特卡洛方法

n 步累计奖励:\(G_{t}^{(n)}=R_{t+1}+\gamma R_{t+2}+\cdots+\gamma^{n-1}R_{t+n}+\gamma^nV(S_{t+n})\)

n 步时序差分学习:\(V(S_t)\leftarrow V(S_t)+\alpha(G_t^{(n)}-V(S_t))\)

平均 n 步累计奖励

可以进一步对不同 n 下的 n 步累计奖励求平均值

例如求 2 步和 3 步时的平均累计奖励 \(\frac{1}{2}G^{(2)}+\frac{1}{2}G^{(3)}\)

使用平均 n 步累计奖励的 TD(λ) 算法

当 λ = 1 时,相当于蒙特卡洛方法

当 λ = 0 时,相当于单步时序差分

多步 SARSA

n-step 的思想用在控制上,就是多步 SARSA 算法。

使用重要性采样的多步离线学习法

对于状态值函数 V

\(V_{t+n}(S_t)=V_{t+n-1}(S_t)+\alpha\rho_{t:t+n-1}[G_{t:t+n}-V_{t+n-1}(S_t)]\)

\(\rho_{t:h}=\Pi_{k=t}^{\min(h,T-1)}\frac{\pi(A_k|S_k)}{b(A_k|s_k)}\)

对于动作值函数 Q:

\(Q_{t+n}(S_t,A_t)=Q_{t+n-1}(S_t,A_t)+\alpha\rho_{t+1:t+n}[G_{t:t+n}-Q_{t+n-1}(S_t,A_t)]\)

\(\rho_{t:h}=\Pi_{k=t}^{\min(h,T-1)}\frac{\pi(A_k|S_k)}{b(A_k|s_k)}\)

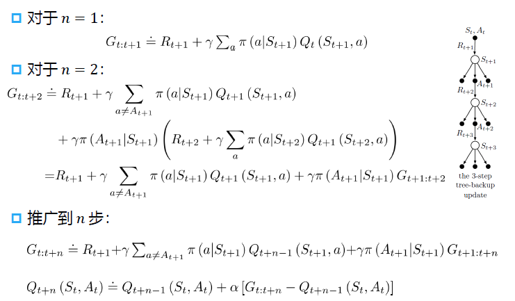
多步树回溯算法

多步连乘导致方差大,为了解决这一问题,避免重要性采样。可用多步树回溯算法替代。

多步树回溯算法推导